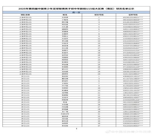
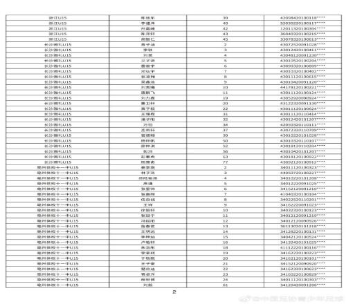
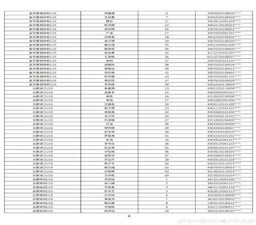
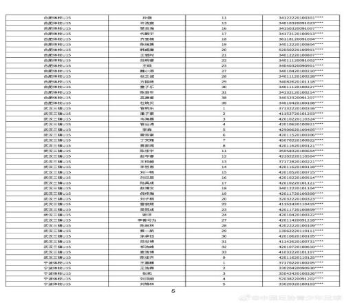
2025年第四届中青赛男子初中年龄段U15大区赛南区球员名单公示
2025年07月12日 10:38
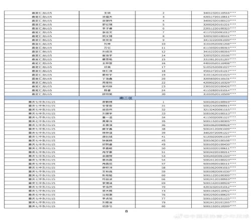
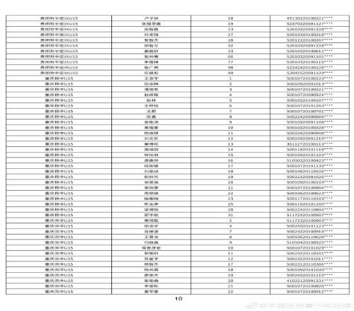
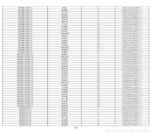
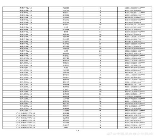
根据2025年第四届中青赛赛事安排,中青赛赛事办公室计划于7月11日至7月23日组织第四届中青赛男子初中年龄段U15组大区赛比赛,现将(南区)参赛球队人员名单予以公示,接受社会监督。公示期间,如有异议,请实名向中青赛赛事办公室反映,逾期不再接受反映。
公示期:公布之日起至7月13日12:00
受理单位:中国青少年足球联赛赛事办公室
受理电话:010-59291128
受理邮箱:huang.yj@thecfa.cn

































